• Предмет: Математика
  • Автор: sultanovkonstantin
  • Вопрос задан 2 года назад

Нужно срочно, даю 100 баллов.
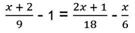
Решите уравнение:
(уравнение на фотографии)

Приложения:

Ответы

Ответ дал: iramazurk
1

Ответ:

5

Пошаговое объяснение:

(х + 2)/9 - 1 = (2х + 1)/18 - х/6 | * 18

2(х + 2) - 18 = 2х + 1 - 3х

2х + 4 - 18 = -х + 1

2х - 14 = -х + 1

2х + х = 1 + 14

3х = 15

х = 15 : 3

х = 5


sultanovkonstantin: Спасибо!
Аноним: Если что там рисочки в примере такие/ то это означает что пример надо писать дробю
sultanovkonstantin: Это я знаю
iramazurk: пожалуйста
Вас заинтересует