• Предмет: Алгебра
  • Автор: farkhatovs
  • Вопрос задан 2 года назад

3.
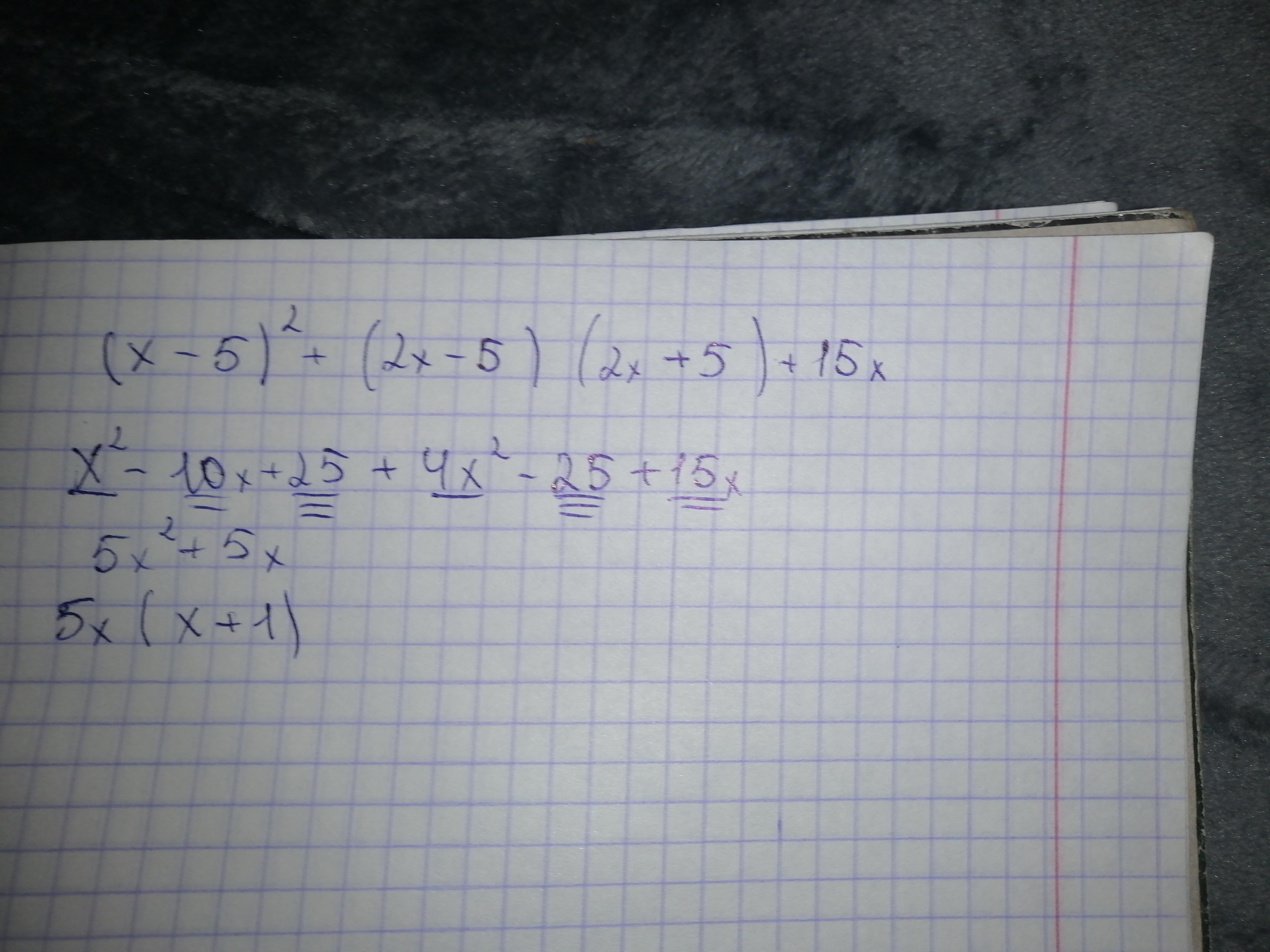
а) Упростите выражение: (x - 5)²+ (2x-5)(2x+5) + 15x
-
b) Найдите значение выражения (x -
5)2+(2x-5)(2x+5) + 15х при х-- 3

Ответы

Ответ дал: kondraevgen228
0

Ответ:

Объяснение:все находится на фото. Успел решить только a).

Приложения:
Ответ дал: myroshnychenkosofiia
0

(X-5)2.+(2x-5)•(2x+5)+15x

x2-10x+25+4x2-25+15x

5x2-10x+15x

5x2+5x

Вас заинтересует