• Предмет: Алгебра
  • Автор: svatoslavkutovij
  • Вопрос задан 2 года назад

пж допомогою домашнім​

Приложения:

Ответы

Ответ дал: wannasayless
1

Відповідь:

Пояснення:

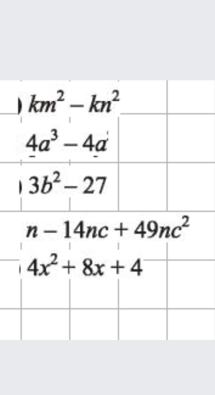
km^2-kn^2=k(m^2-n^2)=k(m-n)(m+n)

---------------------------------------------------

4a^3-4a=4a(a^2-1)=4a(a-1)(a+1)

---------------------------------------------------

3b^2-27=3(b^2-9)=3(b-3)(b+3)

---------------------------------------------------

n-14nc+49nc=n(1-14c+19c^2)=n(1-7c)^2

---------------------------------------------------

4x^2+8x+4=4(x^2+2+1)=4(x+1)^2

---------------------------------------------------


svatoslavkutovij: дякую
Вас заинтересует