• Предмет: Алгебра
  • Автор: Аноним
  • Вопрос задан 2 года назад

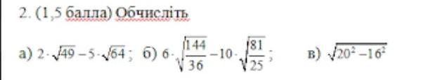
Обчисліть все на фотци​ СРОЧНООО

Приложения:

Ответы

Ответ дал: dasa29082005D
0

Відповідь:

,

Пояснення:

а) 2*7-5*8 = 14 - 40 = -26

б) 6 * (12/6) - 10* (9/5) = 12 -18 = -6

в) корень( (20 - 16)*(20+16) ) = корень(4*36) = 2*6 = 12

Вас заинтересует