• Предмет: Алгебра
  • Автор: salammolekym
  • Вопрос задан 2 года назад

допоможіть будь ласка! 100балів(писати з перевіркою)

Приложения:

Ответы

Ответ дал: natalyabryukhova
1

Ответ:

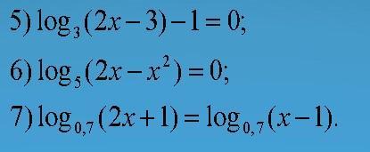
5) 3;  6) 1;   7)  ∅

Объяснение:

Решить уравнения:

  • Логарифм числа b по основанию а - показатель степени, в которую надо возвести основание а, чтобы получить данное число b.

                logₐb = x   ⇔   aˣ = b

  • Число логарифма положительно.

5) log₃(2x - 3) - 1 = 0,  ОДЗ: 2x - 3 > 0   ⇒  x > 1,5

log₃(2x - 3) = 1

2x - 3 = 3¹

2x = 6     |:2

x = 3

6) log₅(2x - x²) = 0,  ОДЗ: x(2 - x) > 0   ⇒ x ∈ (0; 2)

2x - x² = 5⁰

-x² + 2x -1 = 0

x² - 2x + 1 = 0

(x - 1)² = 0

x = 1

7) log₀₋₇(2x + 1) = log₀₋₇(x - 1),  

ОДЗ: 1.   2х + 1 > 0   ⇒   x > -1/2;  2.   x - 1 > 0   ⇒   x > 1

 x > 1

  • Если равны логарифмы, равны основания логарифмов, то и числа логарифмов равны.

2x + 1 = x - 1

x = -2

По ОДЗ х > 1   ⇒  ∅

Вас заинтересует