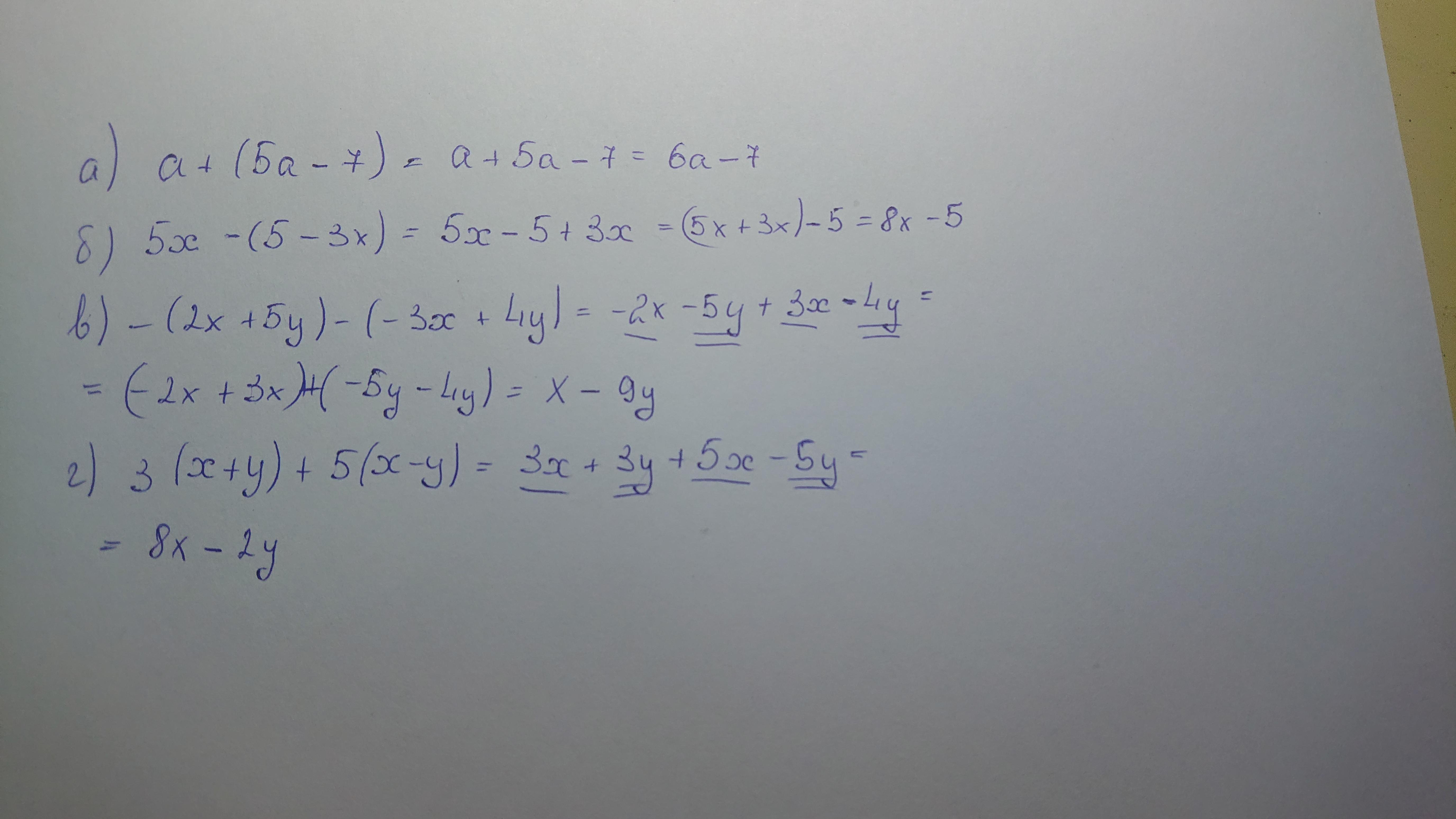
розкрийте дужки та зведіть подібні доданки
а) а+(5а-7)
б) 5х-(5-3х)
в)-(2х+5у)-(-3х+4у)
г)3 * (х+у)+5(х-у)
решите пожалуйста срочно надо
Ответы
Ответ дал:
0
Відповідь:
Покрокове пояснення:
Приложения:

Вас заинтересует
1 год назад
1 год назад
1 год назад
1 год назад
3 года назад
3 года назад
8 лет назад
8 лет назад