• Предмет: Математика
  • Автор: kicularustam314
  • Вопрос задан 2 года назад

Допоможіть будь ласка ​

Приложения:

Ответы

Ответ дал: ildar502020
0

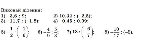
Ответ:

Пошаговое объяснение:

  1.   -3.6 : 9 = -0.4;
  2. 10.32 : (-2.5) =  -4.128;
  3. -11.7 : (-1.8) = 6.5;
  4. -0.45:0.09 = -5;
  5. -1/2 : (-1/6) = 3;
  6. -4/9 : 5/3 = -4/15;
  7. 18 : (-6/7) = -21;
  8. -10/17 : (-5) = 2/17.


kicularustam314: розписи
kicularustam314: пж
Вас заинтересует