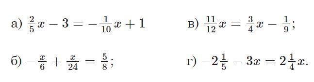
Використовуючи основну властивість рівняння, позбудьтеся дробових чисел і розв’яжіть рівняння
Мне срочно ставлю 40 балов РАСПИСАТЬ КАК РЕШИЛИ.
Приложения:

Ответы
Ответ дал:
2
Решение на прикреплённой фотографии
Приложения:

Вас заинтересует
1 год назад
1 год назад
1 год назад
3 года назад
3 года назад
8 лет назад