• Предмет: Математика
  • Автор: sofinkrav14
  • Вопрос задан 2 года назад

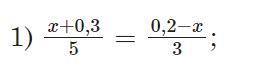
Використовуючи основну властивість пропорції, розв’яжи рівняння

Мне срочно ставлю 40 балов РАСПИСАТЬ КАК РЕШИЛИ.

Приложения:

Ответы

Ответ дал: сок111213
0

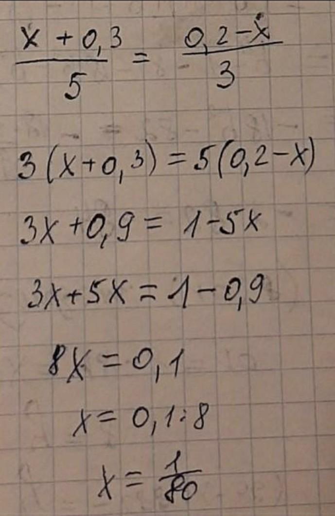
Решение на прикреплённой фотографии

Приложения:
Вас заинтересует