• Предмет: Алгебра
  • Автор: armilove2723
  • Вопрос задан 2 года назад

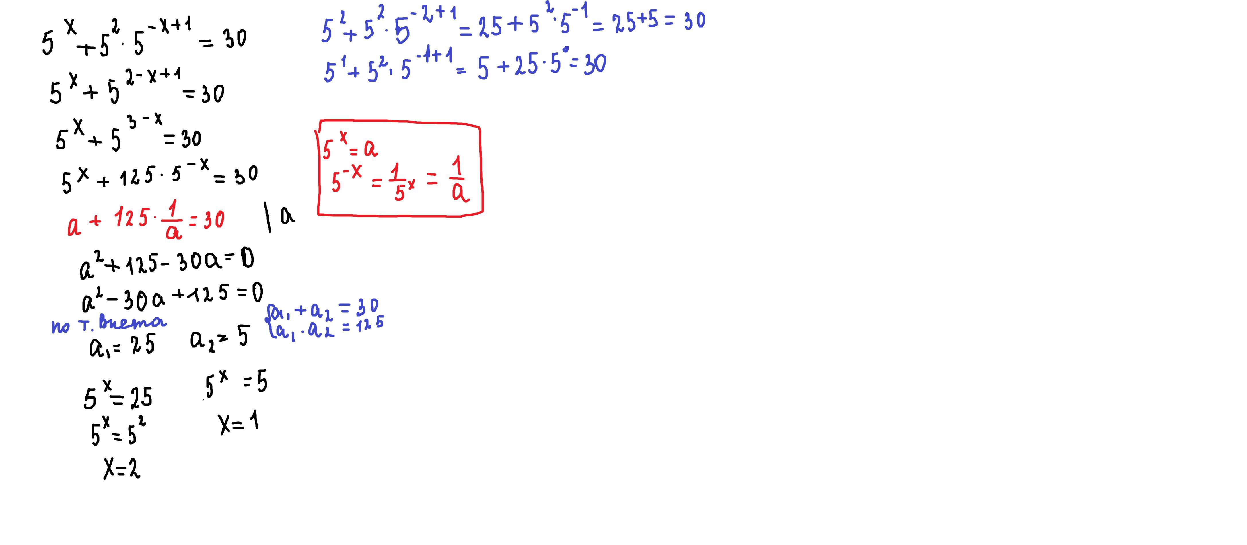
5* +25×5 -X+1 = 30 ---​

Приложения:

Ответы

Ответ дал: parus77
1

Ответ:

х=2 и х=1

Объяснение:

решение внизу

Приложения:

armilove2723: Спасибо
Вас заинтересует