• Предмет: Алгебра
  • Автор: masha38156
  • Вопрос задан 2 года назад


Питання 8
немає відповіді
РОЗПИСАТИ! Доведіть, що вираз набуває додатних значень при будь-яких значеннях х.
x² - 4x + 8


ВикаБач: =(x² - 4x + 4) +4 =(x - 2)² + 4 > 0; (оба слагаемые положительны).

Ответы

Ответ дал: Alnadya
0

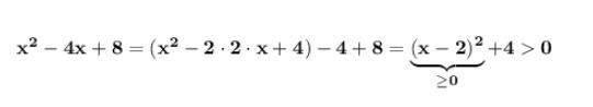
Решение.

Выделим полный квадратиз квадратного трёхчлена.

\bf x^2-4x+8=(x^2-2\cdot 2\cdot x+4)-4+8=\underbrace{\bf (x-2)^2}_{\geq 0}+4 > 0  

Получили сумму неотрицательного полного квадрата и положительного числа 4 . Такая сумма будет принимать только положительные значения при любых значениях  х  .

Приложения:
Вас заинтересует