• Предмет: Математика
  • Автор: sofinkrav14
  • Вопрос задан 2 года назад

Використовуючи основну властивість пропорції, розв’яжи рівняння
Мне срочно ставлю 60 балов РАСПИСАТЬ КАК РЕШИЛИ.

Приложения:

Ответы

Ответ дал: сок111213
1

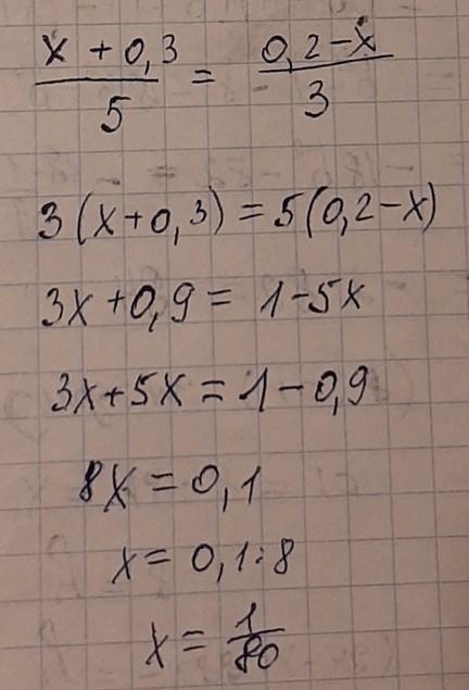
Решение на прикреплённой фотографии

Приложения:

sofinkrav14: А Ти Могла би ответь на ещо один вопрос он в моьом профиле ПОЖАЛУЙСТА МНЕ ОЧЕНЬ ОЧЕНЬ СРОЧНО.
Ответ дал: iramazurk
0

Ответ:

0,0125

Пошаговое объяснение:

(х + 0,3)/5 = (0,2 - х)/3

3 * (х + 0,3) = 5 * (0,2 - х)

3х + 0,9 = 1 - 5х

3х + 5х = 1 - 0,9

8х = 0,1

х = 0,1 : 8

х = 0,0125

Вас заинтересует