• Предмет: Математика
  • Автор: denis9295
  • Вопрос задан 2 года назад

Пожалуйста хелп 6 клас

Приложения:

Ответы

Ответ дал: Warlock1
0

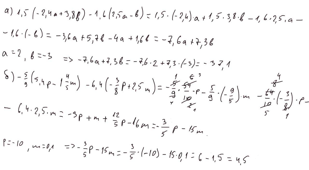
Ответ:

как-то так

Пошаговое объяснение:

Приложения:
Вас заинтересует