• Предмет: Математика
  • Автор: Sash4kaaaaa
  • Вопрос задан 2 года назад

Заповніть таблицю: (таблиця вказана на фото)​

Приложения:

322student: Постав коронку

Ответы

Ответ дал: 322student
1

Відповідь:

Покрокове пояснення:

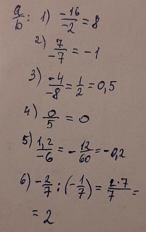
а:       -16    7   -4   0  1,2 -2/7

b:       -2    -7   -8   5  -6   -1/7

ab:      32  -49 32  0  -7,2  2/49

a/b:     8    -1    0,5  0  -0,2  2

Ответ дал: сок111213
1

Решение на прикреплённой фотографии

Приложения:
Вас заинтересует