• Предмет: Алгебра
  • Автор: masha01021
  • Вопрос задан 2 года назад

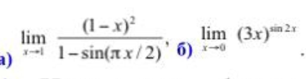
вычислить используя правило Лопителя ​

Приложения:

Ответы

Ответ дал: yugolovin
1

Ответ:

а) \dfrac{8}{\pi^2};. б) 1

Объяснение:

a) \lim\limits_{x\to 1}\dfrac{(1-x)^2}{1-\sin(\pi x/2)}=\left[\dfrac{0}{0}\right]=\lim\limits_{x\to 1}\dfrac{\left((1-x)^2\right)'}{\left(1-\sin(\pi x/2)\right)'}=\lim\limits_{x\to 1}\dfrac{2(1-x)\cdot (-1)}{-\cos(\pi x/2)\cdot (\pi/2)}=

=-\dfrac{4}{\pi}\lim\limits_{x\to 1}\dfrac{x-1}{\cos(\pi x/2)}=\left[\dfrac{0}{0}\right]= -\dfrac{4}{\pi}\lim\limits_{x\to 1}\dfrac{(x-1)'}{(\cos(\pi x/2))'}=-\dfrac{4}{\pi}\lim\limits_{x\to 1}\dfrac{1}{-\sin(\pi x/2)\cdot (\pi/2)}=

                                                      =\dfrac{8}{\pi^2}.

б).               \lim\limits_{x\to 0} (3x)^{\sin 2x}=\left[0^0\right]=\lim\limits_{x\to 0}e^{\ln (3x)^{\sin 2x}}=e^{\lim\limits_{x\to 0}\sin 2x\cdot \ln (3x)};

\lim\limits_{x\to 0}(\sin 2x\cdot \ln(3x))=\lim\limits_{x\to 0}\dfrac{\ln(3x)}{\frac{1}{\sin 2x}}=\left[\dfrac{\infty}{\infty}\right]=\lim\limits_{x\to 0}\dfrac{\frac{1}{3x}\cdot 3}{-\frac{1}{\sin^2 2x}\cos 2x\cdot 2}=

=-\dfrac{1}{2}\lim\limits_{x\to 0}\dfrac{1}{\cos 2x}\cdot\lim\limits_{x\to 0}\dfrac{\sin^2 2x}{x}=\left[\dfrac{0}{0}\right]=-\dfrac{1}{2}\lim\limits_{x\to 0}\dfrac{2\sin 2x\cdot \cos 2x\cdot 2}{1}=0\Rightarrow

\lim\limits_{x\to 0} (3x)^{\sin 2x}=e^0=1.

Вас заинтересует