• Предмет: Алгебра
  • Автор: atsushi03pmp
  • Вопрос задан 2 года назад

СРОЧНО
решите уравнение
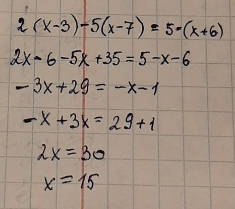
А)2(x-3) - 5( x - 7) = 5 - (x + 6)
Б)2x +3 = 3x - 74​

Ответы

Ответ дал: сок111213
2

Решение на прикреплённой фотографии

Приложения:
Вас заинтересует