• Предмет: Геометрия
  • Автор: Valentina6375
  • Вопрос задан 2 года назад

спростить вираз будь ласка ​

Приложения:

Ответы

Ответ дал: manyny06
0

Ответ:

решение смотри на фотографии

Приложения:
Ответ дал: HelpingForOthers
1

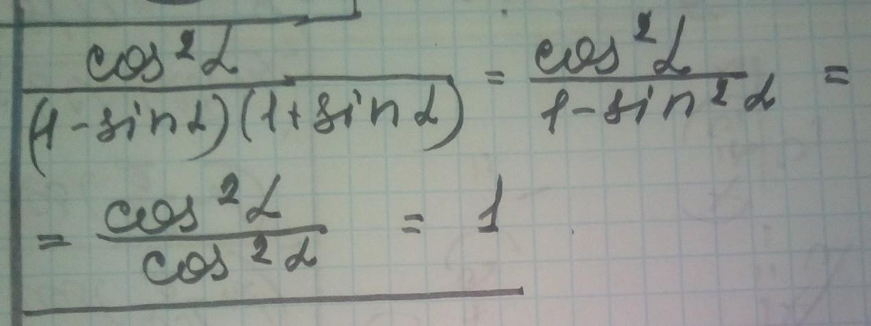
Ответ:

Тригонометрическое тождество:

sin^2a+cos^2a=1

cos^2a=1-sin^2a

Отсюда:

cos^2a/ (1-sina)(1+sina)= cos^2a/ 1 - sin^2a = cos^2a/cos^2a = 1

Вас заинтересует