• Предмет: Физика
  • Автор: aimkaaa
  • Вопрос задан 10 лет назад

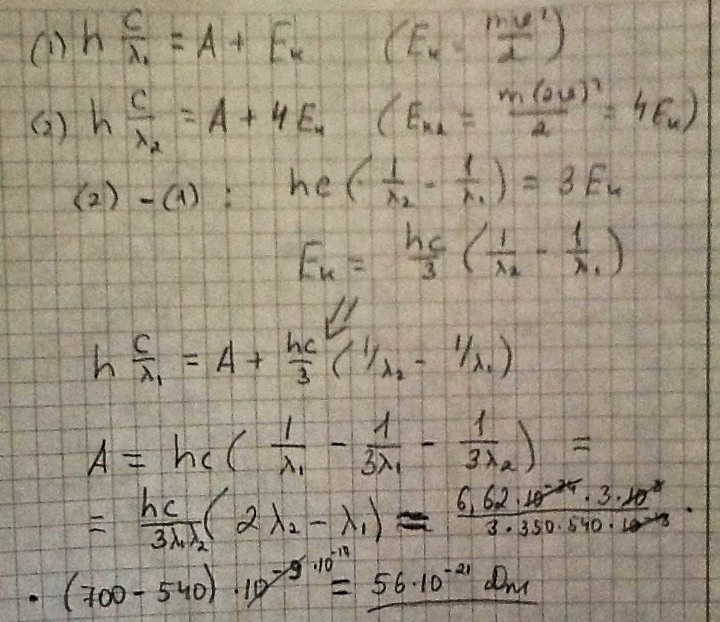
если поочередно освещать поверхности металлов излучением с длинами волн 350 и 540 нм,то максимальные скорости фотоэлектроном будут отличаться в два раза. Определите работу выхода электрона для этого металла

Ответы

Ответ дал: Аноним
0
......................
Приложения:
Вас заинтересует