• Предмет: Математика
  • Автор: Glebhor
  • Вопрос задан 2 года назад

СРОООЧНО ДАЮ 55 БАЛОВ!!!!!
РЕШЕНИЕ!!!!

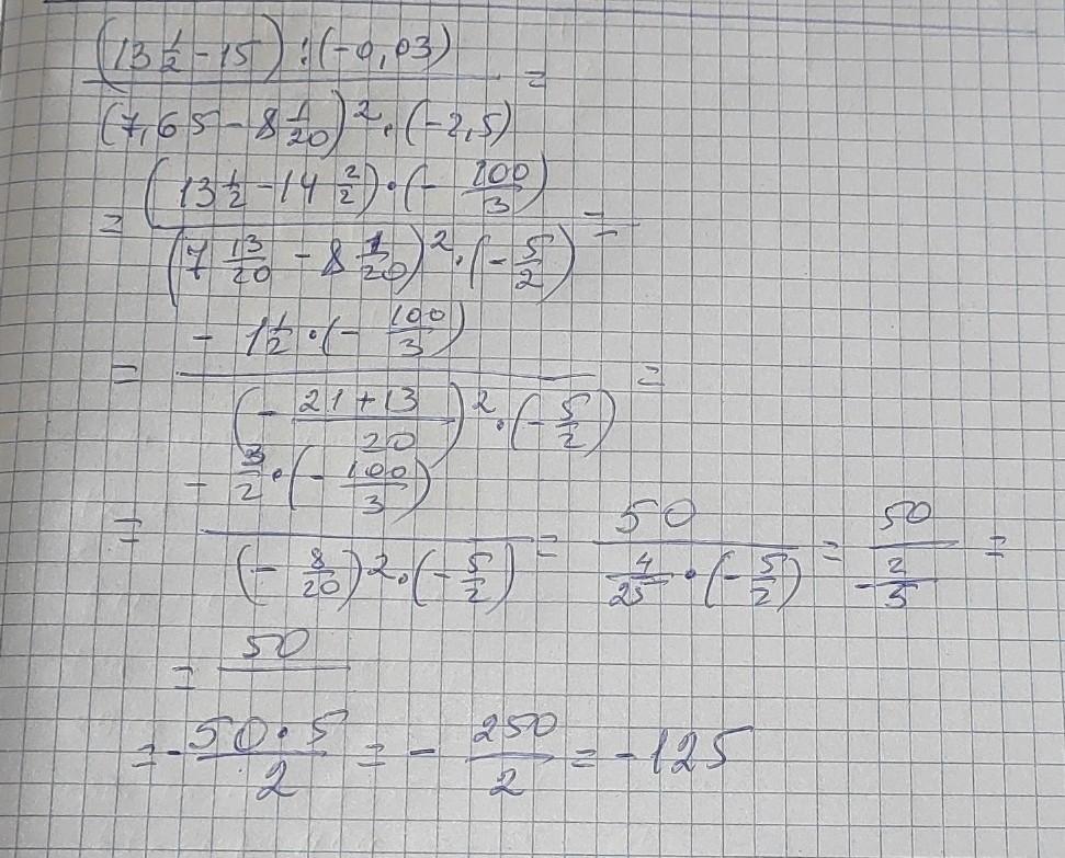
(13 1/2-15)÷(-0,03)
------------------------------
(7,65-8 1/20)²×(-2,5)​

Ответы

Ответ дал: tetamotatetyamotya
1

Ответ:

-125

Пошаговое объяснение:

решение

на листочке

Приложения:

iramazurk: неправильно
tetamotatetyamotya: если это 2 отдельных примера,то да,если один,то верно.Пусть автор ответит
iramazurk: это один пример. дробь
tetamotatetyamotya: да,вы правы,я нашла свою ошибку,сейчас исправлю Спасибо
iramazurk: бывает)))
Ответ дал: iramazurk
1

Ответ:

-125

Пошаговое объяснение:

1) 13 1/2 - 15 = 13,5 - 15 = -1,5

2) -1,5 : (-0,03) = 50

Это числитель

3) (7,65 - 8 1/20)² = (7,65 - 8,05)² = (-0,4)² = -0,4 * (-0,4) = 0,16

4) 0,16 * (-2,5) = -0,4

Это знаменатель

5) 50 : (-0,4) = -125

Это результат всего примера

Вас заинтересует