• Предмет: Физика
  • Автор: karivolk10
  • Вопрос задан 2 года назад

Помогите пожалуйста решить!!
1. Определить изменение внутренней энергии азота массой 150г при его нагревании на 50К.
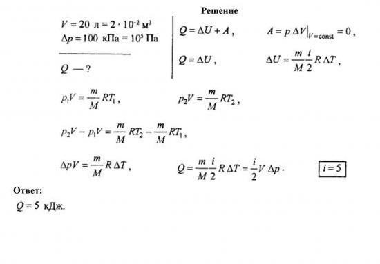
2. Определить количество теплоты, сообщённое кислороду, если в процессе изохорного нагревания его давление изменилось на 50кПа. Объем газа 10л.
3. Паровая машина за один цикл совершает работу 1 кДж. Количество теплоты, получаемое от нагревателя 4,5 кДж, температура холодильника 30 C°. Найти температуру нагревателя.

Ответы

Ответ дал: odlistandoff
0

Ответ:

кароче спешы всё с фото У меня сестра на красную медаль закончила она всё решила Так что Переписывай смело

Приложения:
Вас заинтересует