• Предмет: Химия
  • Автор: artur27112008
  • Вопрос задан 2 года назад

Будь ласка, даю всі бали

Приложения:

Ответы

Ответ дал: Nironov
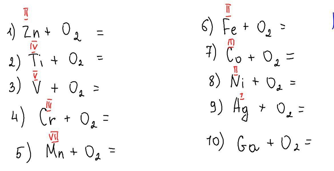
1

1. 2Zn + O2 -> 2ZnO
2. Ti + O2 -> TiO2
3. 4V + 5O2 -> 2V2O5
4. 4Cr + 3O2 -> 2Cr2O3
5. 4Mn + 7O2 -> 2Mn2O7
6. 2Fe + O2 -> 2FeO
7. 4Co + 3O2 -> 2Co2O3
8. 2Ni + O2 -> 2NiO
9. 4Ag + O2 -> 2Ag2O
10. 4Ga + 3O2 -> 2Ga2O3 (уравнение для галлия валентностью 3)


artur27112008: Дякую, коли вчителька оцінить, поставлю найвищу оцінку
Вас заинтересует