• Предмет: Математика
  • Автор: amandarinka717
  • Вопрос задан 2 года назад

СРОЧНОООООООООО ДАМ 50 БАЛЛОВ!!!! С ФОТО И ОБЪЯСНЕНИЯМИ СРОЧНО!!!!

Приложения:

Ответы

Ответ дал: iramazurk
1

Пошаговое объяснение:

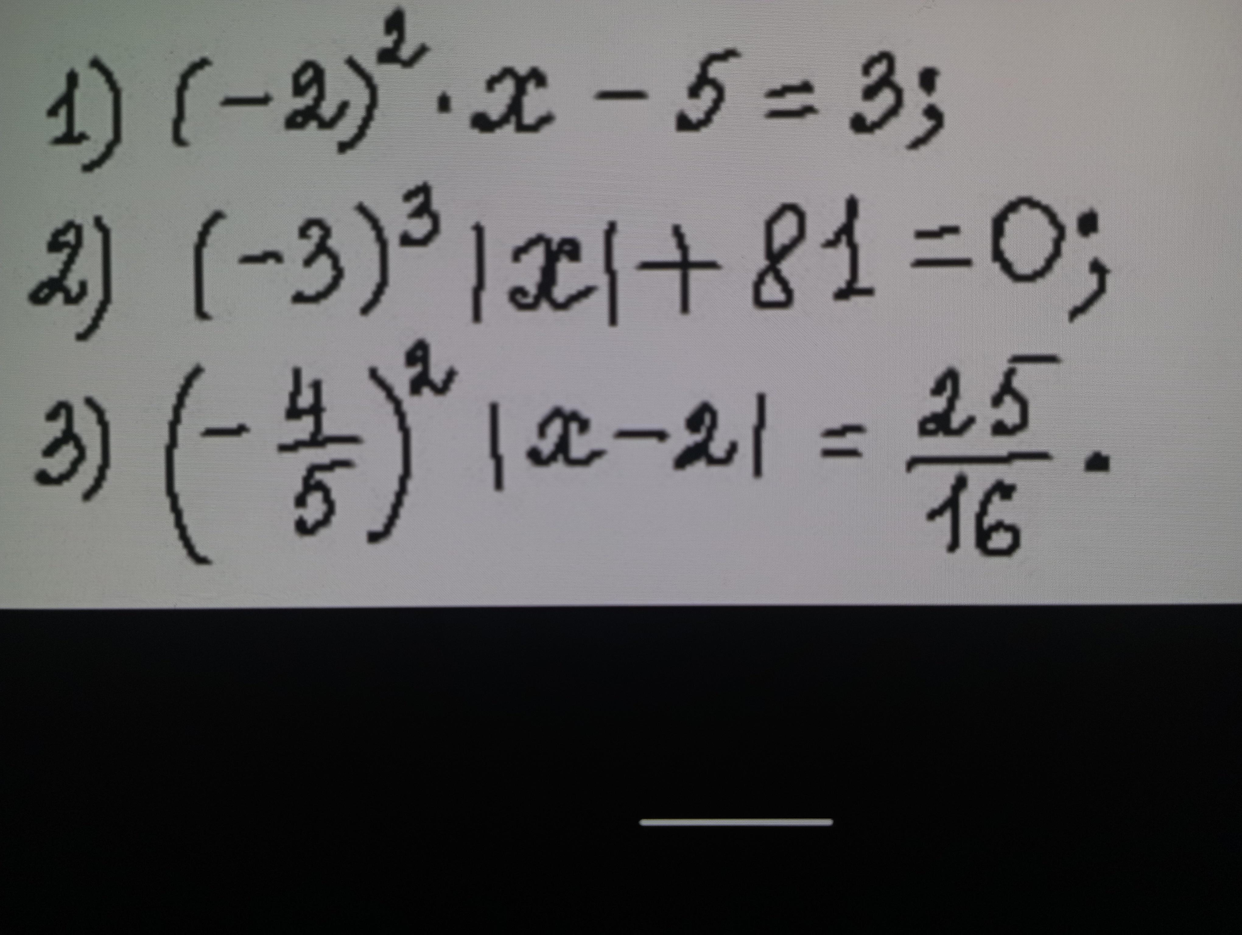
1)

(-2)² * х - 5 = 3

4 * х - 5 = 3

4х = 3 + 5

4х = 8

х = 8 : 4

х = 2

2)

(-3)³ |х| + 81 = 0

-27|х| + 81 = 0

-27|х| = -81

|х| = -81 : (-27)

|х| = 3

х1 = -3

х2 = 3

3)

(-4/5)²|х - 2| = 25/16

16/25|х - 2| = 25/16

|х - 2| = 25/16 : 16/25

|х - 2| = 25/16 * 25/16

|х - 2| = 625/256

|х - 2| = 2 113/256

1)

х - 2 = -2 113/256

х = -2 113/256 + 2

х1 = -113/256

2)

х - 2 = 2 113/256

х = 2 113/256 + 2

х2 = 4 113/256

Ответ дал: сок111213
0

Решение на прикреплённой фотографии

Приложения:
Вас заинтересует