• Предмет: Физика
  • Автор: FoxyForrrrrr93
  • Вопрос задан 2 года назад

Помогите пожалуйста решить задачу по фото
физика 10 класс

Приложения:

Ответы

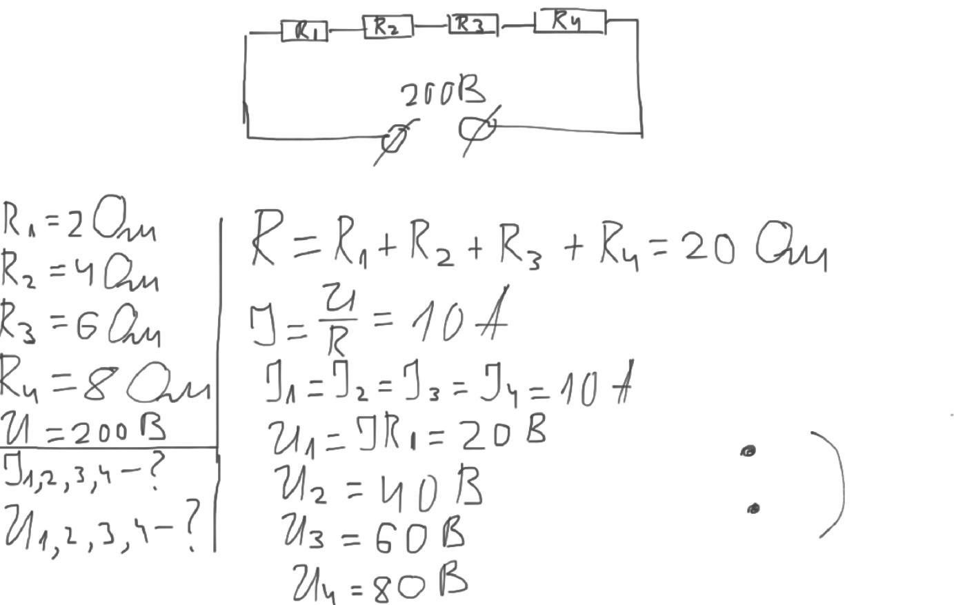
Ответ дал: Maks14836
1

Відповідь:

переправте, якщо щось не так)

Пояснення:

Приложения:
Вас заинтересует