• Предмет: Математика
  • Автор: sashaprystupa777
  • Вопрос задан 2 года назад

Срочно сделайте пожалуста

Приложения:

Ответы

Ответ дал: denexad
1

Пошаговое объяснение:

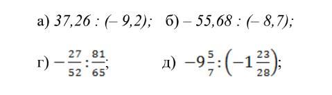
а) 3726:(-920)= -4.05

б) -5568 : (-87) = 64

г) -1755/4212 = -0.416

в) -9 20/28 : (-1 23/28) =9 280/644= 9.23

Вас заинтересует