• Предмет: Математика
  • Автор: victoryegorov17
  • Вопрос задан 2 года назад

24 5/9-21 7/9 падскажите пажалуста даю 18 балов​

Ответы

Ответ дал: nikitafreedomuwu
1

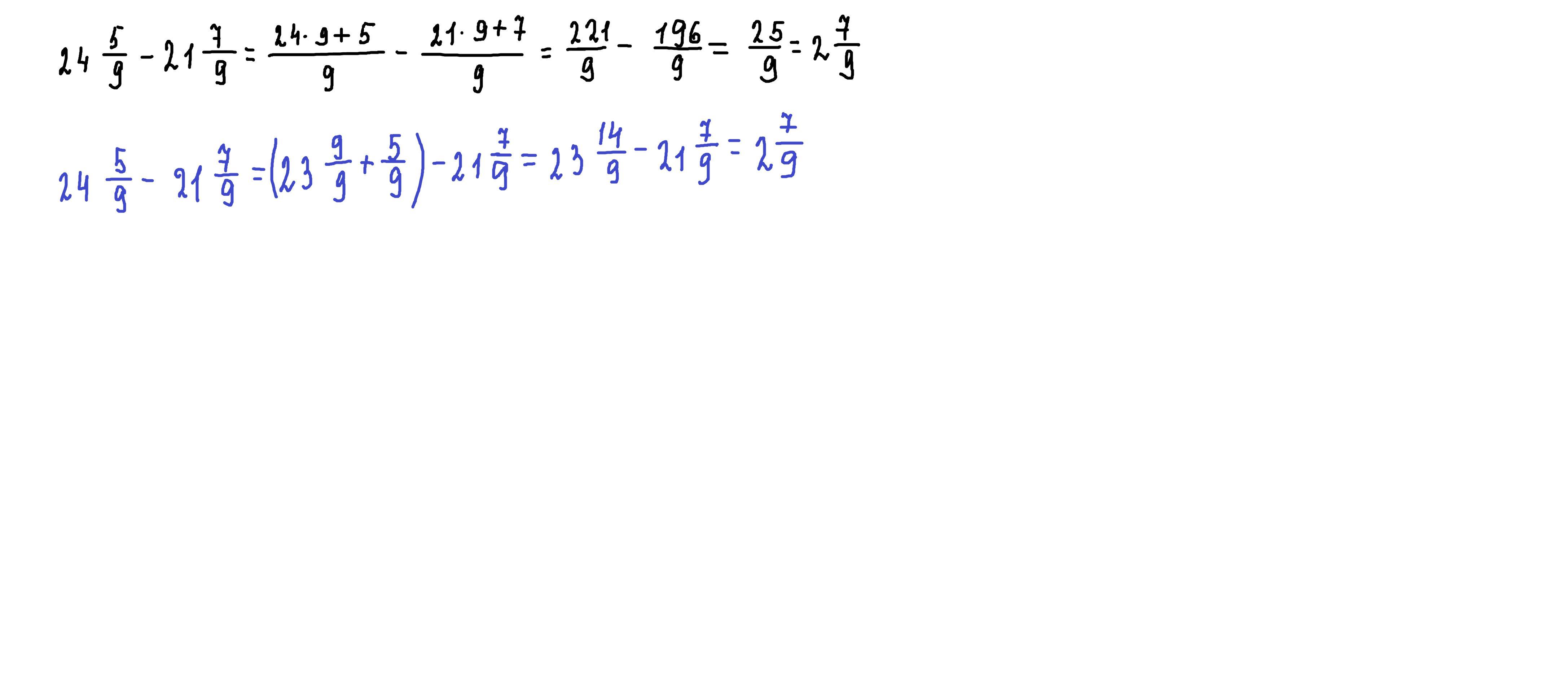
Пошаговое объяснение:

На фото...............

Приложения:

victoryegorov17: спс
parus77: в ответе надо обязательно записать смешанную дробь,т.е выделить целую часть.
Ответ дал: parus77
0

Ответ:

2 7/9

Пошаговое объяснение:

два способа решения внизу,выбирайте какой вам более понятен.

Приложения:
Вас заинтересует