56÷(-0.08)÷(-7/9÷3 помогите пожалуйста
Аноним:
вот вот фигня полная написана, но ее еще решают как-то
Ответы
Ответ дал:
2
Ответ:
1) 56/(-0,08)=-5600/8=-700;
2) -700:(-7/9)=700*9/7=100*9=900;
3) 900/3=300.
Ответ: 300
Ответ дал:
1
Ответ:
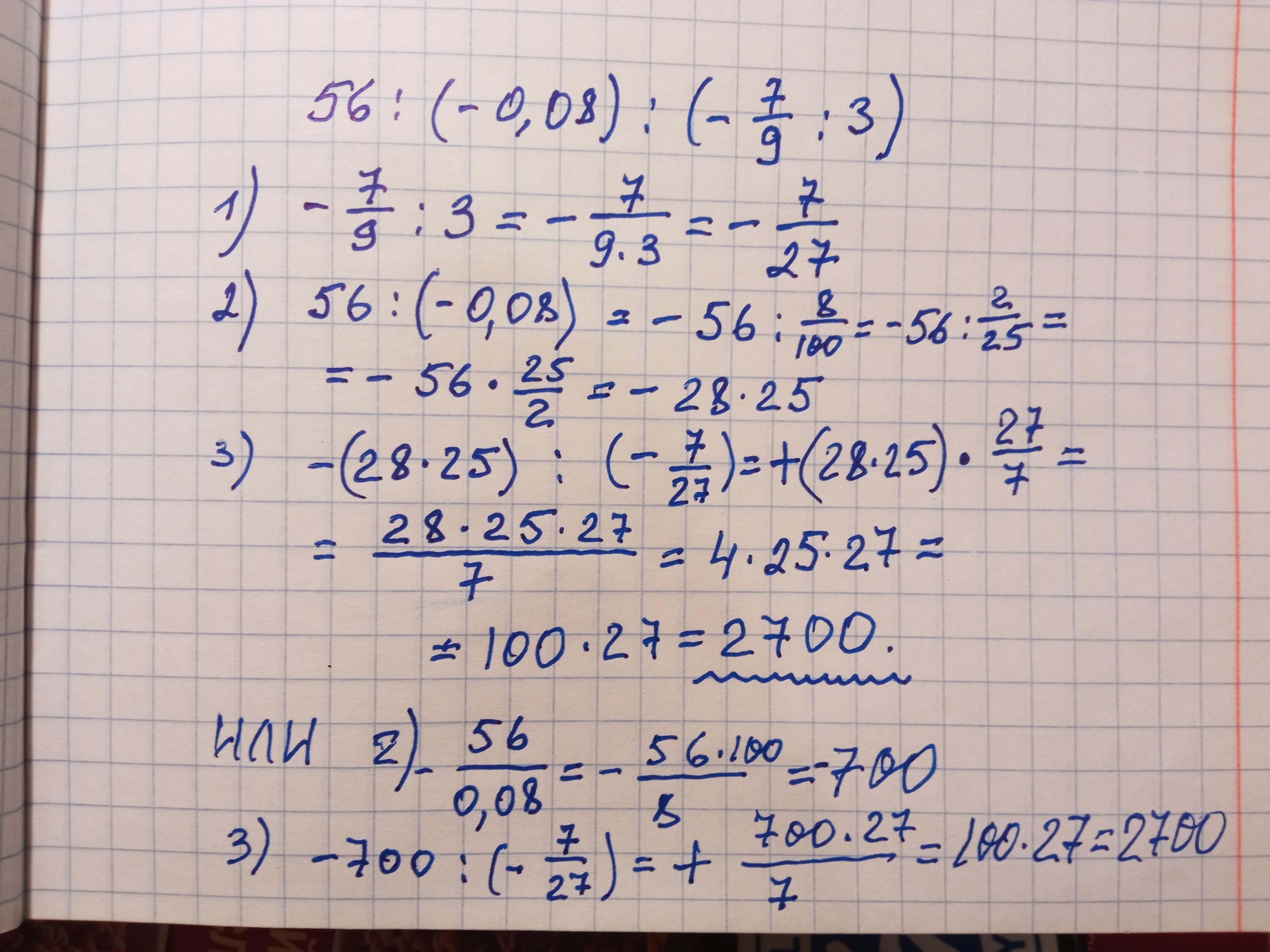
Пошаговое объяснение:
Приложения:


Вас заинтересует
1 год назад
1 год назад
1 год назад
3 года назад
8 лет назад