• Предмет: Алгебра
  • Автор: shasabirovshomahsut
  • Вопрос задан 2 года назад

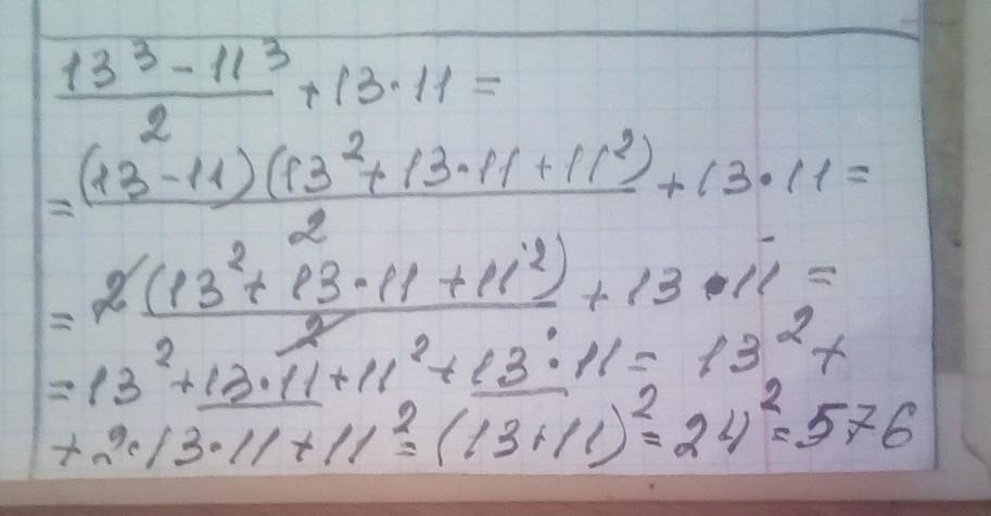
вычислите наиболее рациональным способом
13³-11³ + 13 * 11
2
прошу помогите пожалуйста, сейчас соч , прошуууу 50 баллов​

Приложения:

Ответы

Ответ дал: rte12132
2

Для решения данного выражения можно воспользоваться формулой суммы кубов:

a³ - b³ = (a-b)(a² + ab + b²)

Применяя эту формулу, получим:

(13³ - 11³)/2 + 13 * 11 = [(13-11)(13² + 1311 + 11²)]/2 + 1311

= [(2)(169 + 143 + 121)]/2 + 143

= (2)(433)/2 + 143

= 433 + 143

= 576

Ответ: 576.


shasabirovshomahsut: правильно?
aibekbatyrbek09: дп правильно
Ответ дал: manyny06
1

Ответ:

решение смотри на фотографии

Приложения:
Вас заинтересует