Ответы
Ответ дал:
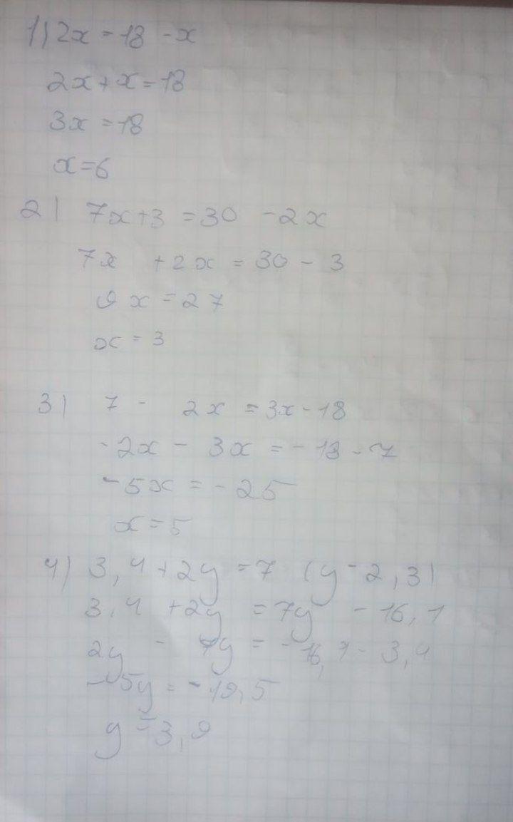
1
1.
2х=18-х
2х+х=18
3х=18
х=6
2.
7х+3=30-2х
7х+2х=30-3
9х=27
х=3
3.
7-2х=3х-18
-2х-3х=-18-7
-5х=-25
х=5
4.
3,4+2у=7(у-2,3)
3,4+2у=7у-16,1
2у-7у=-16,1-3,4
-5у=-19,5
у=3,9
5.
0.2(7-2у)=2,3-0,3(у-6)
1,4 - 0,4 y= 2,3 - 0,3 y + 1,8
1,4-0,4 y = 4,1-0,3 y
- 0,4 y +0,3 y = 4,1-1,4
- 0,1 y = 2,7
у=-27
7.
4(5x+2)=10(2x-3)+15
20x+8=20x -30 + 15
8=-30 + 15
8=-15
уровнение не выйдет
8.
27×-7)=7(2×-3)+7
14x-14 =14x - 21+ 7
-14=21+7
-14=-14
х
2х=18-х
2х+х=18
3х=18
х=6
2.
7х+3=30-2х
7х+2х=30-3
9х=27
х=3
3.
7-2х=3х-18
-2х-3х=-18-7
-5х=-25
х=5
4.
3,4+2у=7(у-2,3)
3,4+2у=7у-16,1
2у-7у=-16,1-3,4
-5у=-19,5
у=3,9
5.
0.2(7-2у)=2,3-0,3(у-6)
1,4 - 0,4 y= 2,3 - 0,3 y + 1,8
1,4-0,4 y = 4,1-0,3 y
- 0,4 y +0,3 y = 4,1-1,4
- 0,1 y = 2,7
у=-27
7.
4(5x+2)=10(2x-3)+15
20x+8=20x -30 + 15
8=-30 + 15
8=-15
уровнение не выйдет
8.
27×-7)=7(2×-3)+7
14x-14 =14x - 21+ 7
-14=21+7
-14=-14
х
BRAWLSTARSLEON01:
в 8 уровении в конце ответ будет 0
Ответ дал:
0
Відповідь:
Покрокове пояснення:
Приложения:



Вас заинтересует
1 год назад
1 год назад
3 года назад
3 года назад
8 лет назад