Ответы
Ответ дал:
0
Ответ:
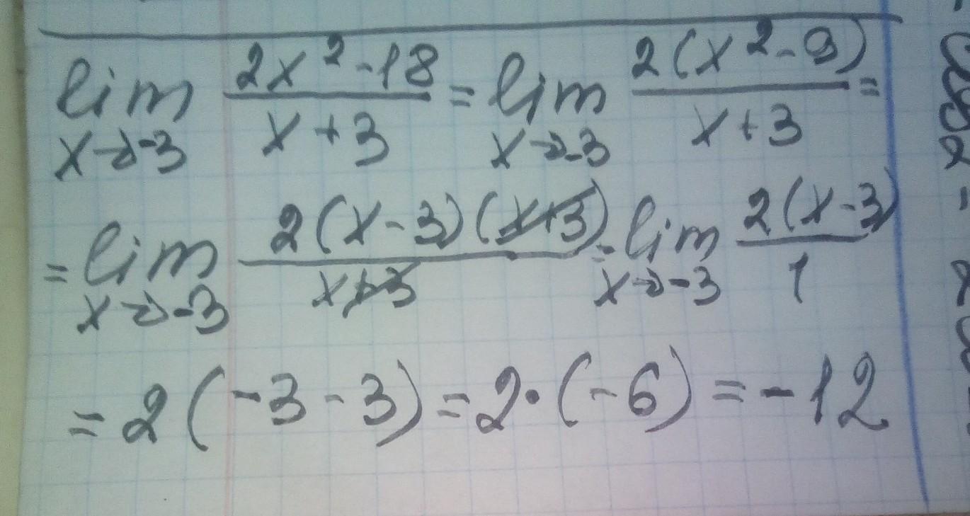
решение смотри на фотографии
Приложения:

allasazneva10:
Допоможіть будь ласка з алгеброю))
Вас заинтересует
1 год назад
3 года назад
3 года назад