• Предмет: Химия
  • Автор: ocebakova8
  • Вопрос задан 2 года назад

помогите с химией пожалуйста поставлю 1000 баллов срочно

Приложения:

Ответы

Ответ дал: heisenberg005
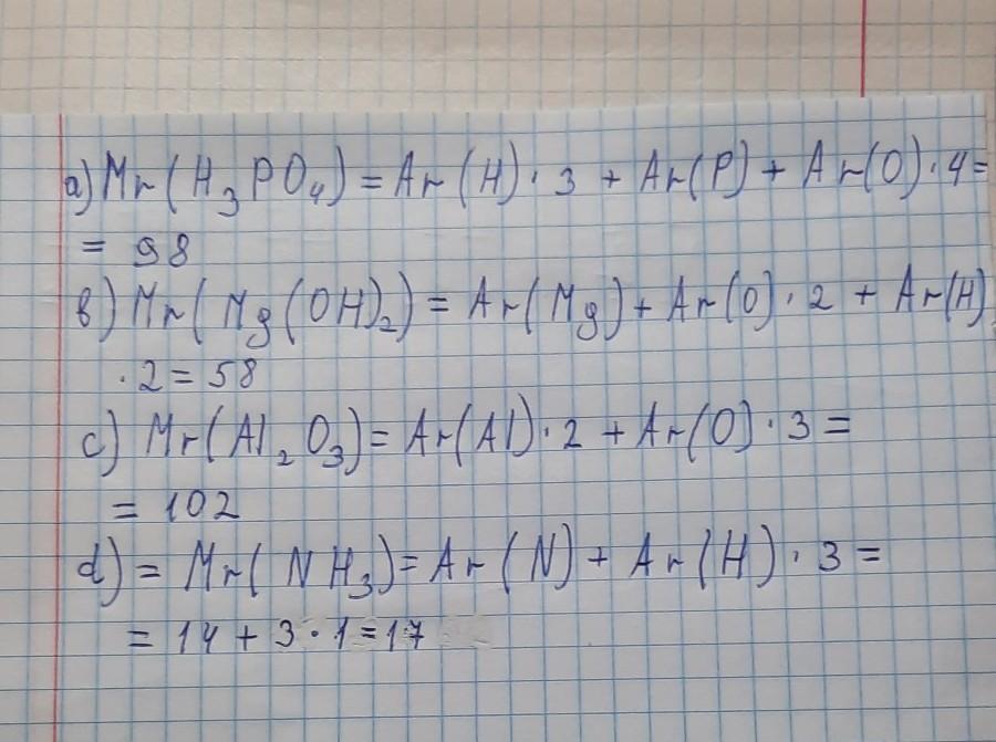
1

Mr(H3PO4)=3Ar(H)+Ar(P)+4Ar(O)=3×1+31+16×4=98

Mr(Mg(OH)2)=Ar(Mg)+2Ar(O)+2Ar(H)=24+16×2+1×2=58

Mr(Al2O3)=2Ar(Al)+3Ar(O)=27×2+16×3=102

Mr(NH3)=Ar(N)+3Ar(H)=14+3×1=17

Ответ дал: ANSKILL
0

Ответ:

Смотри в прикреплённом фото

Приложения:
Вас заинтересует