• Предмет: Математика
  • Автор: sharoshkindanya
  • Вопрос задан 2 года назад

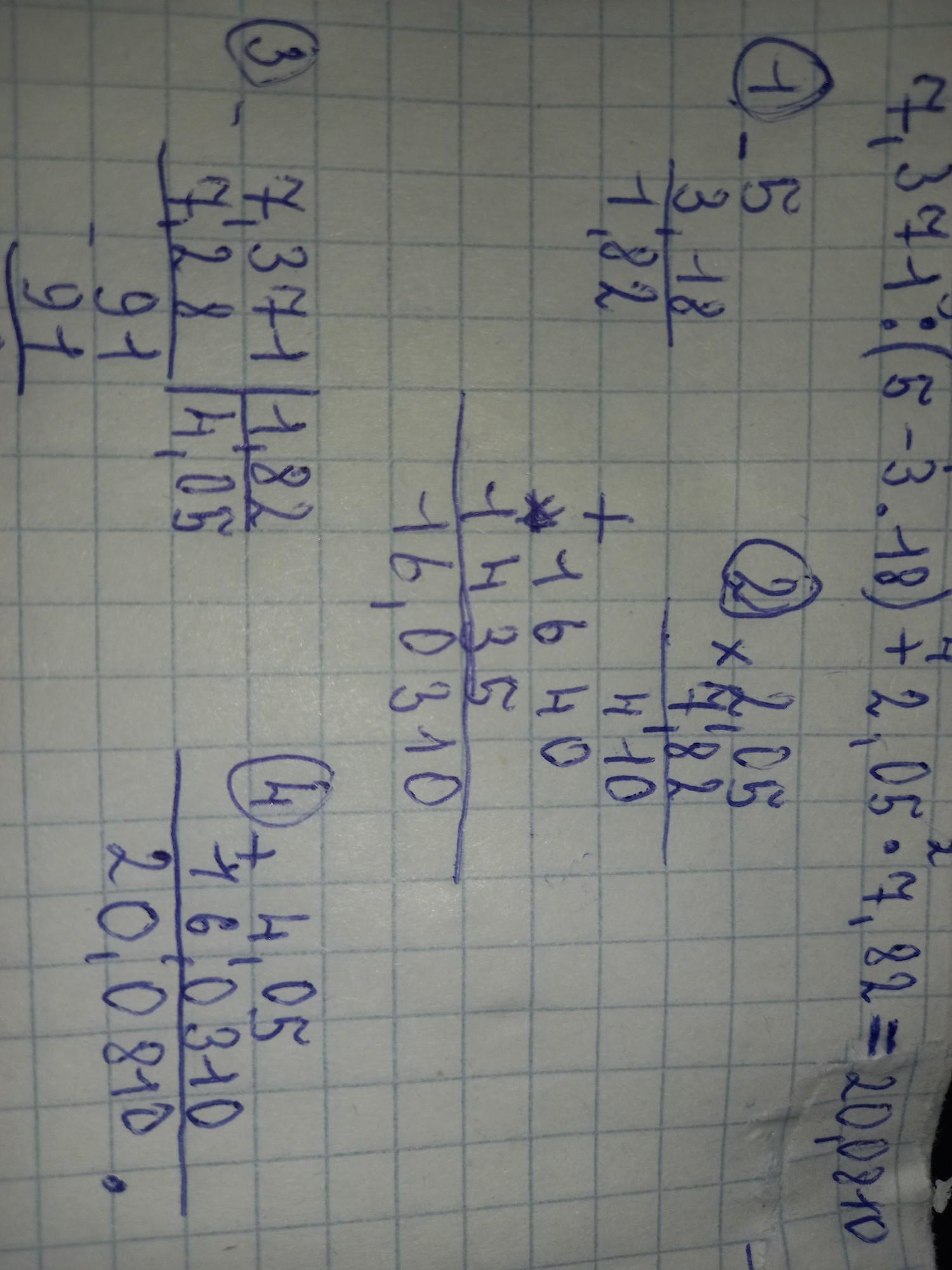
7,371:(5-3.18)+2.05•7,82 в столбик​

Ответы

Ответ дал: malikrrr
1

ответ

20,0810

Объяснение

Приложения:
Вас заинтересует