• Предмет: Математика
  • Автор: abdulbariy41000
  • Вопрос задан 2 года назад

Срочно помогите пж пж пж
Найдите неизвестный член пропорции.
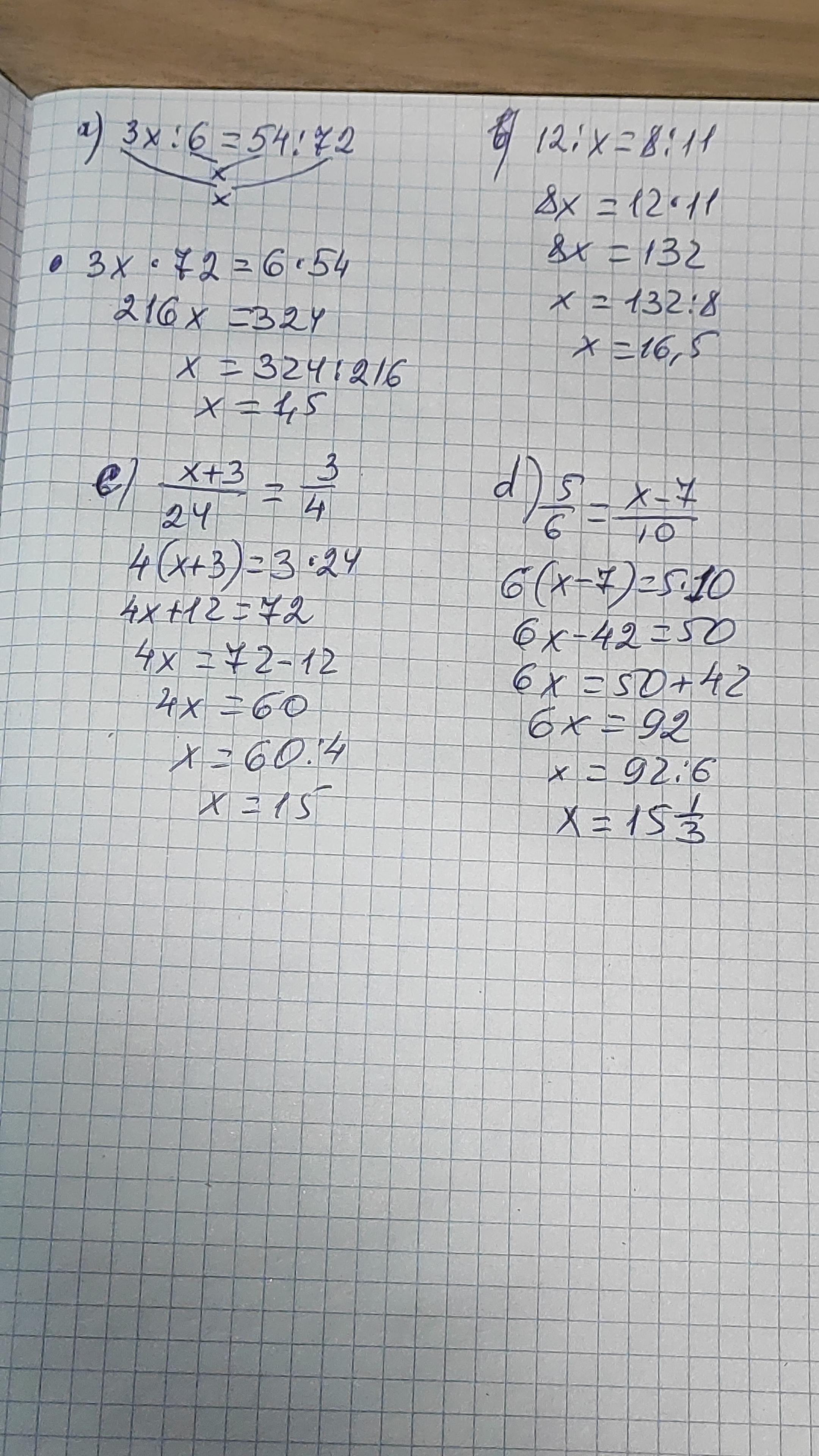
а)3x:6=54:72
b)12:x=8:11
c)x+3/24=3/4
d)5/6=x-7/10​

Приложения:

Ответы

Ответ дал: tetamotatetyamotya
161

Ответ:решение ниже

Пошаговое объяснение:

Приложения:

dinarakasimova8484: огромное спасибо, не как не дошло как решить
tetamotatetyamotya: на здоровье
Uzbekistan123456: Спасибо большое а то я математику не понимаю
tetamotatetyamotya: на здоровье,детка
jenisasqarov08: спасибо
tetamotatetyamotya: пожалуйста♥️
panikovskiyuriy: спасибо огромное
tetamotatetyamotya: пожалуйста♥️
asilbekakbarzonov234: спасибо друг
tetamotatetyamotya: на здоровье
Вас заинтересует