• Предмет: Математика
  • Автор: pismenniykirill2011
  • Вопрос задан 2 года назад

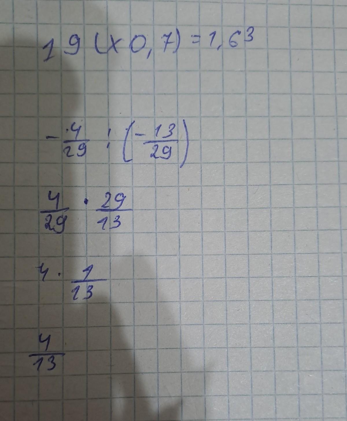
У перше віконце пиши знак + ,якщо резулььтат додатний ,і знак -,якщо результатвід'ємний)-4/29÷(-13/29)=

Ответы

Ответ дал: zhandar18022009
0

Пошаговое объяснение:

думаю правельно, если нет то сообщите

Приложения:
Вас заинтересует