• Предмет: Математика
  • Автор: kuanysheva7777
  • Вопрос задан 2 года назад

помогите срочно(6класс) ​

Приложения:

Ответы

Ответ дал: Пеппер
0

Ответ:

x>6

Пошаговое объяснение:

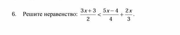
(3x+3)/2 < (5х-4)/4 + 2х/3

18x+18<15x-12+8x

18х+15x-8x<-12-18

-5x<-30

x>6

Ответ дал: iramazurk
0

Пошаговое объяснение:

(3х + 3)/2 < (5х - 4)/4 + 2х/3 | * 12

6(3х + 3) < 3(5х - 4) + 24х/3

18х + 18 < 15х - 12 + 8х

18х + 18 < 23х - 12

18х - 23х < -12 - 18

-5х < -30

х > -30 : (-5)

х > 6

х Є (6; +)

Вас заинтересует