• Предмет: Алгебра
  • Автор: youmy
  • Вопрос задан 10 лет назад

1. Найдите значение выражения:
а) sin750
°
б) tg 810
°
в)cos 1260
°
г) ctg(-405
°)
д)sin 37П
/6
е)cos(-17П/3)
2. Вычислите:
а)2cos 60
°-tgП/4
 б)sin750°*ctgП/3 
3. Вычислите значение выражения:
а)cos45
°*sin60°-1/2(tg45°-sin90°) 
б)cosП/6+sin П-1/2tgП/3-sinП/3 
4. Найдите значение выражения:
а)4cos45
°ctg60°sin30°-3sin45°
б)(0.75tg
²30°-sin²60°+tg²45°+cos60°)⁻¹  
в) 
√(1-2sin45°)²+√(1-2cos45°)²
г) 
√(tg60°-2)²+√(30°-2)²
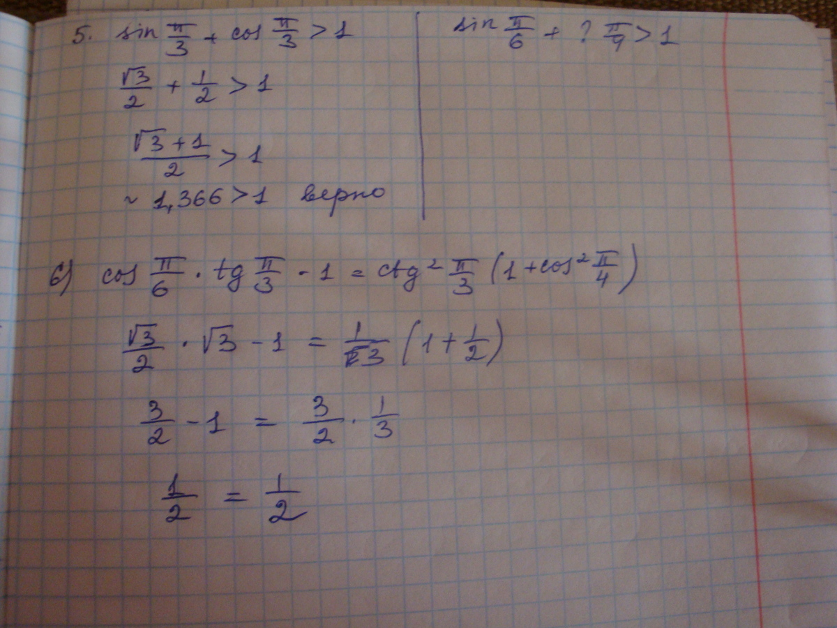
5. Определите, верно ли неравенство:
а)sinП/3+сosП/3>1
 б)sinП/6+П/4>1 
6. Докажите, что cosП/6tgП/3-1=ctg
²П/3(1+cos²П/4)   

Ответы

Ответ дал: Mydrый
0
решениеееееееееееееееееееее
Приложения:
Вас заинтересует