• Предмет: Физика
  • Автор: volchanskiy2006
  • Вопрос задан 2 года назад

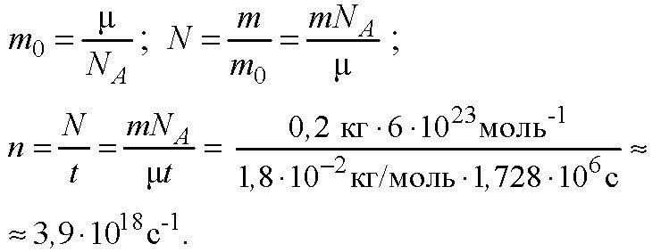
3. 3 вiдкритої склянки за 20 діб випарилася вода масою 200 г. Скільки
молекул випаровувалося за 1 сек. ?

Ответы

Ответ дал: mlavrina
0

Ответ:

m= 200г= 0,2 кг

t= 20 суток =1,728*10^6 с

u= 1,8*10^-2  кг/моль

Объяснение:

Приложения:
Ответ дал: Аноним
0

Відповідь:

u= 1,8*10^-2 kg/

вроде так

Пояснення:

Вас заинтересует