• Предмет: Алгебра
  • Автор: zexxx1d
  • Вопрос задан 2 года назад

ПОМОГИТЕ ПОЖАЛУЙСТА 35 БАЛЛОВ!!!

Приложения:

Ответы

Ответ дал: MizoriesKun
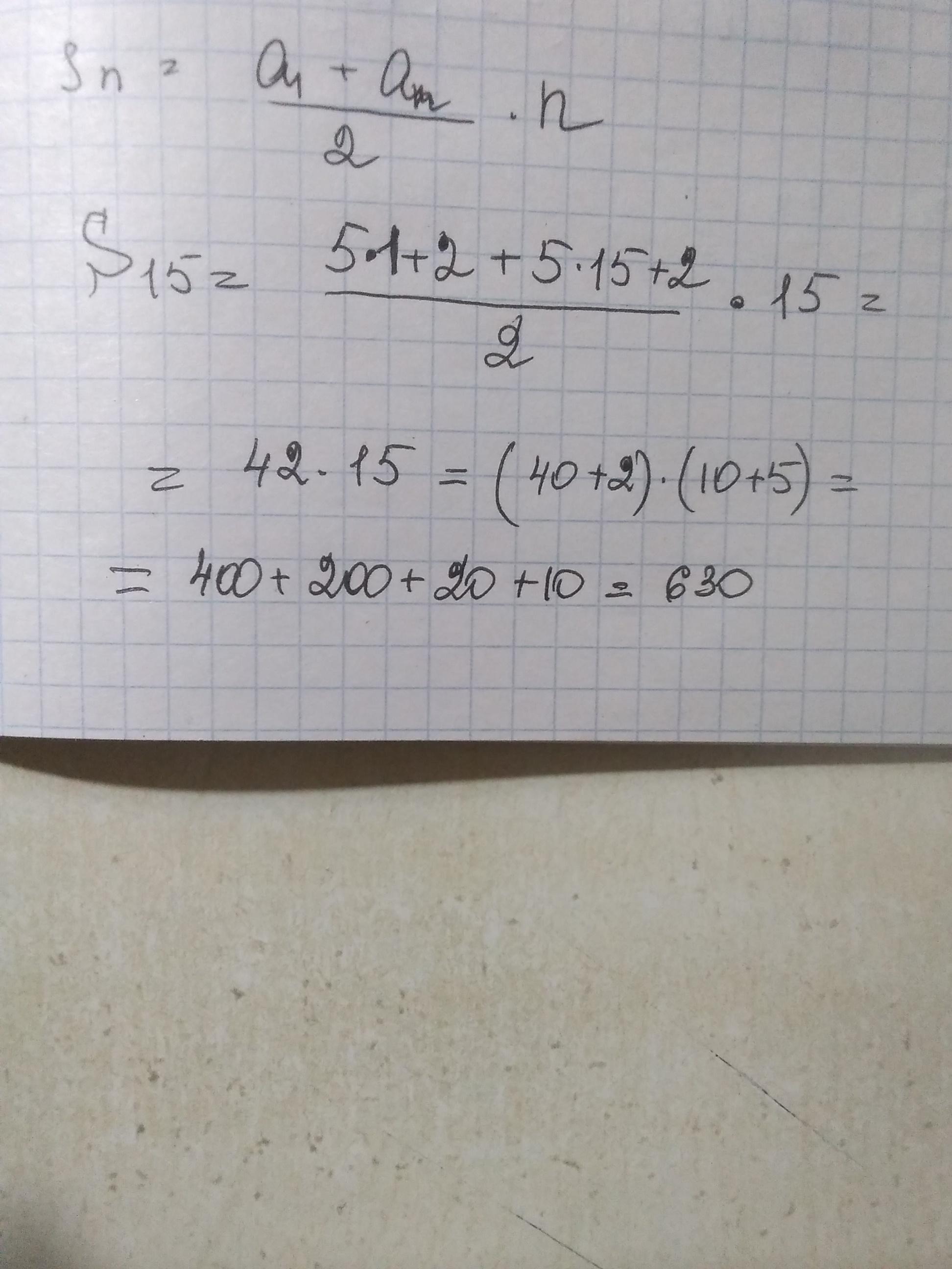
1

Смотри.............................

Приложения:

zexxx1d: Спасибо тебе большое!!!!!!
MizoriesKun: ))
Ответ дал: Universalka
1

\displaystyle\bf\\a_{n} =5n+2\\\\a_{1} =5\cdot 1+2=5+2=7\\\\a_{15} =5\cdot 15+2=75+2=77\\\\\\S_{15} =\frac{a_{1} + a_{15} }{2} \cdot 15=\frac{7+77}{2} \cdot 15=\frac{84}{2} \cdot 15=42\cdot 15=630\\\\\\Otvet \ : \ S_{15} =630

Вас заинтересует