Ответы
Ответ дал:
1
Відповідь:
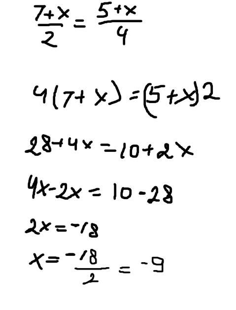
на фото
Покрокове пояснення:
Приложения:

Ответ дал:
1
Ответ:
відповідь на фото
☝️☝️☝️
Приложения:

Вас заинтересует
1 год назад
1 год назад
3 года назад
8 лет назад