СРОЧНО!!!!
Не виконуючи побудов, знайти точки перетину з віссю ординат графіка функції у = -1/4х + 5
ДАЮ 20 БАЛОВ
Ответы
Ответ дал:
1
Відповідь:
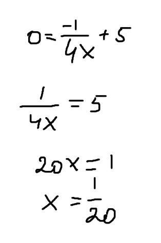
х= 1/20
Пояснення:
Оу-вісь ординат, отже точки перетину з віссю будуть при у=0
на фото
Приложения:

Condiffec:
Помогите пожалуйста по алгебре . Умоляю. Очень срочно
Вас заинтересует
1 год назад
1 год назад
1 год назад
1 год назад
3 года назад
3 года назад
8 лет назад