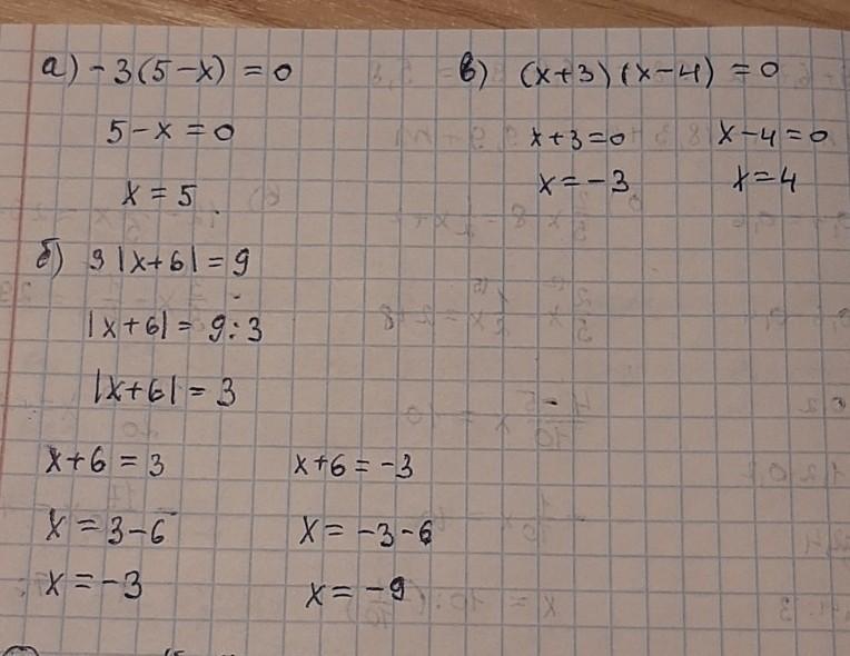
Розв’яжіть рівняння:
а) – 3(5-х)=0;
б) 3|х + 6| = 9;
в)(х + 3)(х − 4) = 0.
пж помогите кто небудь дам 50 балов
Ответы
Ответ дал:
1
Решение на прикреплённой фотографии
Приложения:

Вас заинтересует
1 год назад
1 год назад
1 год назад
1 год назад
3 года назад
3 года назад
8 лет назад