• Предмет: Математика
  • Автор: zhenianor207
  • Вопрос задан 2 года назад

Хэээлп плиз) Даю 100 баллов!

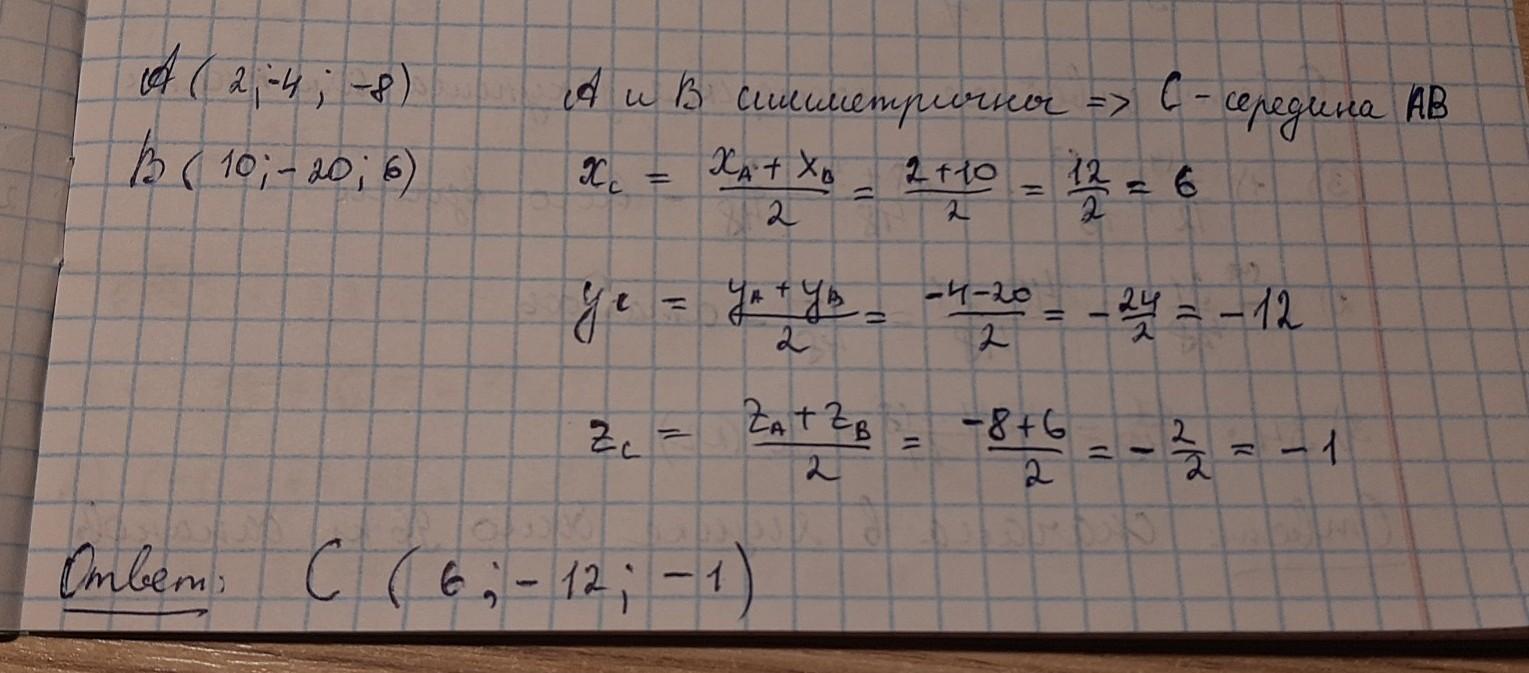
Точки А( 2; -4; -8) і В(10; -20; 6) симетричні відносно точки С. Знайти координати точки С.

Ответы

Ответ дал: сок111213
1

Решение на прикреплённой фотографии

Приложения:

zhenianor207: Спасибо огромное!
Вас заинтересует