Ответы
Ответ дал:
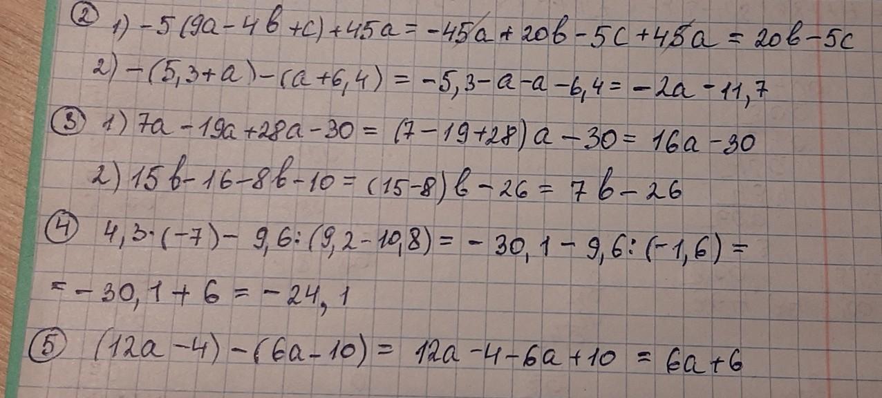
2
Ответ:
Пошаговое объяснение:
2)
1) -5(9а - 4b + c) + 45a = -45a + 20b - 5c + 45a = 20b - 5c
2) -(5,3 + а) - (а + 6,4) = - 5,3 - а - а - 6,4 = -2а - 11,7
3)
7а - 19а + 28а - 30 = 16а - 30
15b - 16 - 8b - 10 = 7b - 26
4)
4,3 *(-7) - 9,6 : ( 9,2 - 10,8) = - 24,1
1) 4,3 *(-7) = - 30,1
2) 9,2 - 10,8 = -1,6
3) 9,6 : (-1,6) = - 6
4) -30,1 - (-6) = - 24,1
5)
(12а - 4) - (6а - 10) = 12а - 4 - 6а + 10 = 6а + 6
levakmarket:
помоги мне с химией пж задача в профиле моем
Ответ дал:
1
Решение на прикреплённой фотографии
Приложения:

Вас заинтересует
1 год назад
1 год назад
1 год назад
1 год назад
3 года назад
3 года назад