• Предмет: Математика
  • Автор: good948
  • Вопрос задан 2 года назад

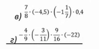
ПОМОГИТЕ ПЖ ПОЖАЛУЙСТА ​БЕЗ РЕКЛАМ МНЕ НАДО СРОЧНО

Приложения:

Ответы

Ответ дал: tetamotatetyamotya
1

Ответ:

решение ниже

Пошаговое объяснение:

на листочке

Приложения:
Вас заинтересует