Ответы
Ответ дал:
1
Пошаговое объяснение:
12-5x+1) = 7+3x-2x
12 -5x-5-7+x
7 - 5x = 7 + x
- 5x − X
- 5x - x = 0
- 6x=0
12-5x+1) = 7+3x-2x
Х=0
Ответ дал:
3
Ответ:
x=0
Пошаговое объяснение:
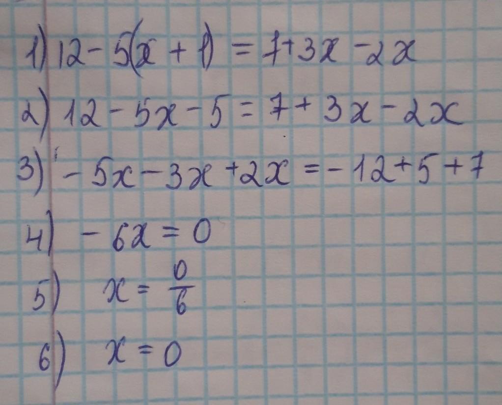
1)само пример
2)раскрыла скобку
3)иксы в одну и числа в одну сторону
4)прибавляем иксы и прибавляем числа
5) находим икс, так как умножение в иксе мы делим его
6)если 0 делить на любое число получается 0
Приложения:

Вас заинтересует
1 год назад
1 год назад
1 год назад
3 года назад
3 года назад
8 лет назад