• Предмет: Математика
  • Автор: eliseyeliseich
  • Вопрос задан 2 года назад

Помогите пожалуйста с ОБЬЕСНЕНИЕМ!!!!!!

Приложения:

Ответы

Ответ дал: сок111213
0

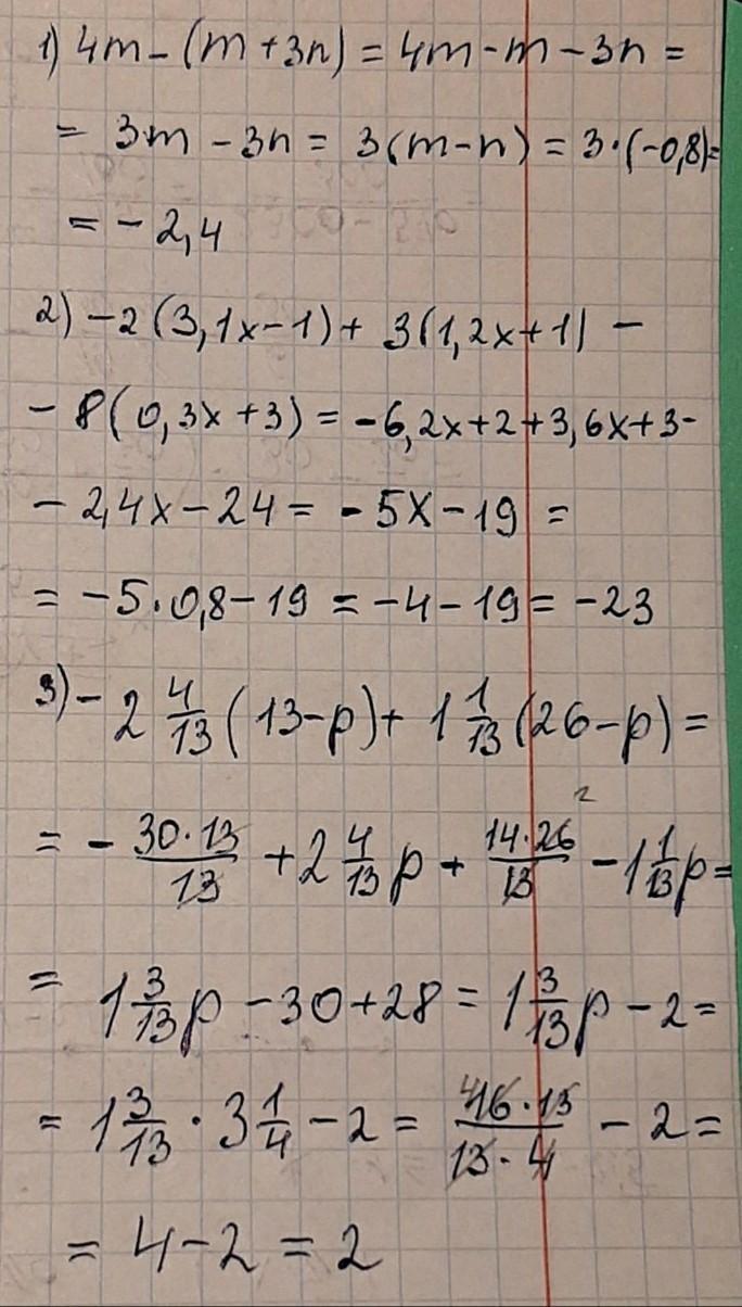
Решение на прикреплённой фотографии

Приложения:
Вас заинтересует