• Предмет: Геометрия
  • Автор: sasha200pu
  • Вопрос задан 2 года назад

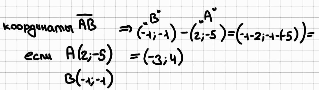
Знайдіть координати вектора АB, якщо: 6) A(2; -5), B(-1; -1);​

Ответы

Ответ дал: Lizzie2018
1

Из координат конца нужно вычесть координаты начала.

Ответ : (-3 ; 4).

Приложения:

sasha200pu: Спасибо!
Вас заинтересует