• Предмет: Физика
  • Автор: Аноним
  • Вопрос задан 2 года назад

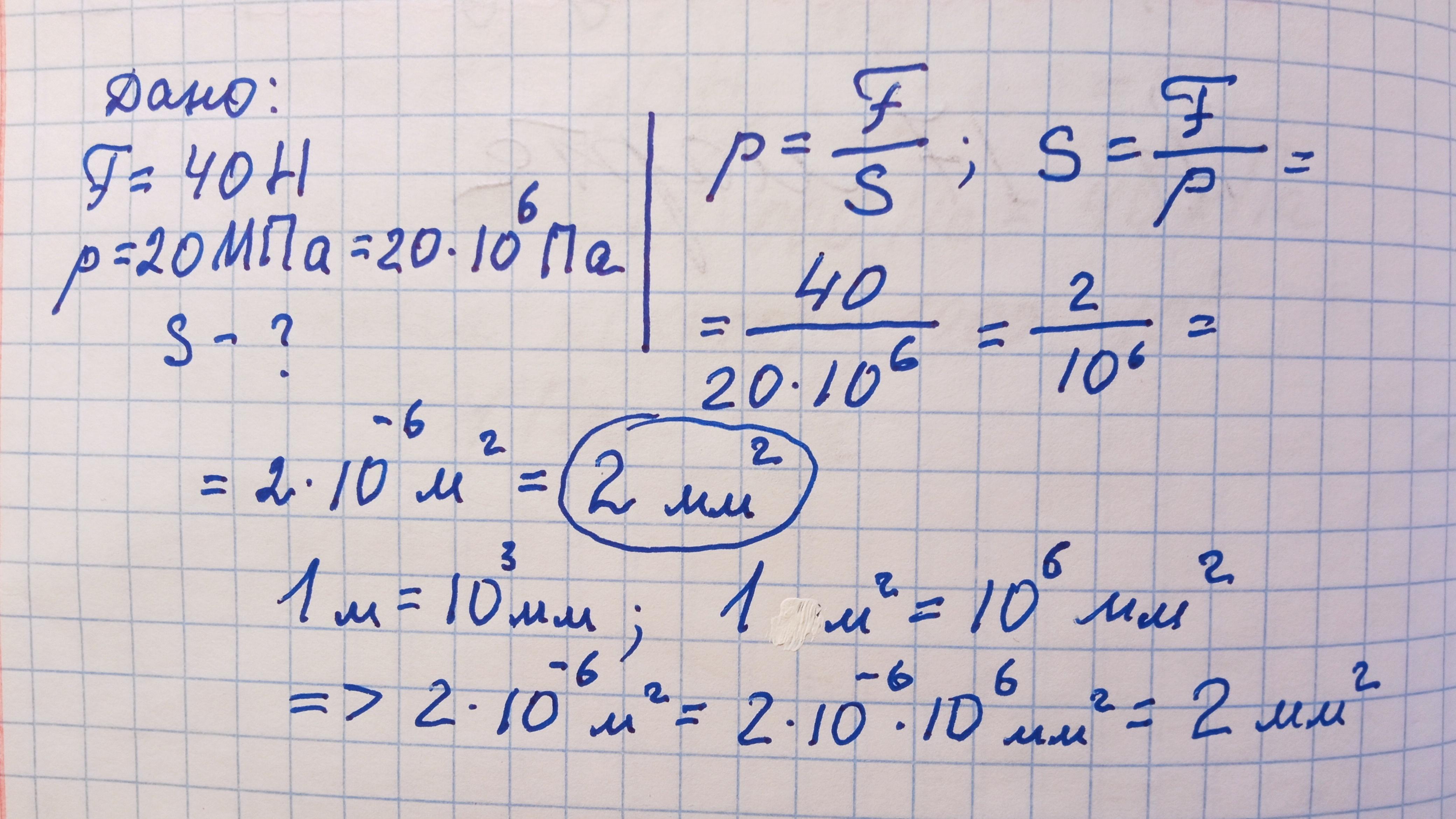
найти площадь острия гвоздя если при силе а 40Н давление равно 20МпА
СРОЧНО 100 БАЛОВ ​

Ответы

Ответ дал: Cohendd
1

Ответ:

Объяснение:.....

Приложения:

karneliya2njxrf0: https://znanija.com/task/52279652
karneliya2njxrf0: срочно!!! помогите, пожалуйста, даю максимум балловЮ заание тестовое, на одну букву, оно одно. пршу
karneliya2njxrf0: мне дали два разніх ответа, какой из них правильній - не знаю. Дайте свой ответ или хотя бі комментарий
karneliya2njxrf0: пожалуйста, на время задание
Вас заинтересует