• Предмет: Геометрия
  • Автор: Eeeeelllhsgh
  • Вопрос задан 2 года назад

ДОПОМОЖІТЬ БУДЬ ЛАСКА ПОТРІБНО З РОЗПИСАНИМ МАЛЮНКОМ((​

Приложения:

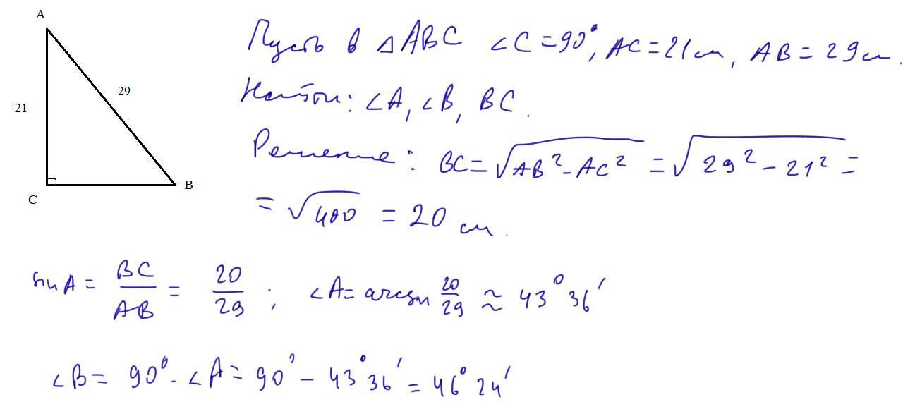
Ответы

Ответ дал: Warlock1
1

Ответ:

как-то так

Объяснение:

Приложения:

Eeeeelllhsgh: Дякую!!
Eeeeelllhsgh: Можете, будь ласка, допомогти з ще одним питанням?
Вас заинтересует