Ответы
Ответ дал:
1
Ответ :
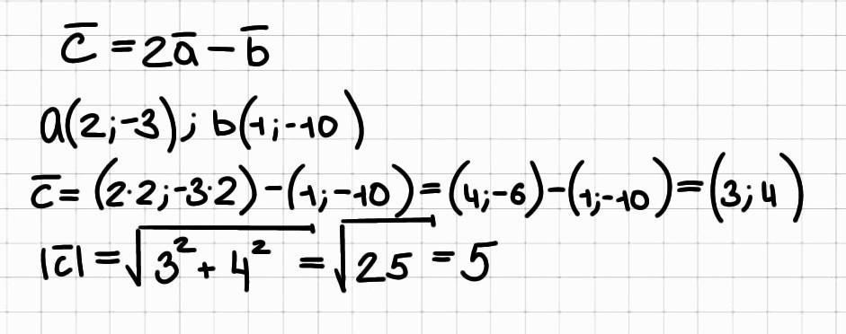
с̅ (3 ; 4).
|с̅| = 5.
Приложения:

Вас заинтересует
1 год назад
1 год назад
1 год назад
3 года назад
3 года назад