• Предмет: Алгебра
  • Автор: allo4allorsa12
  • Вопрос задан 2 года назад

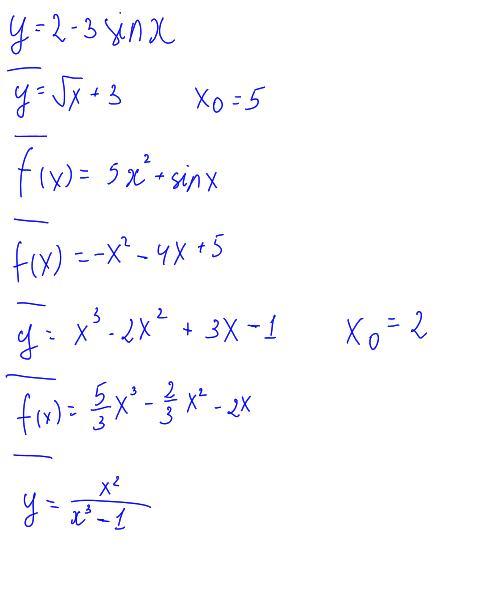
правила. похідна. диференціювання

Приложения:

Ответы

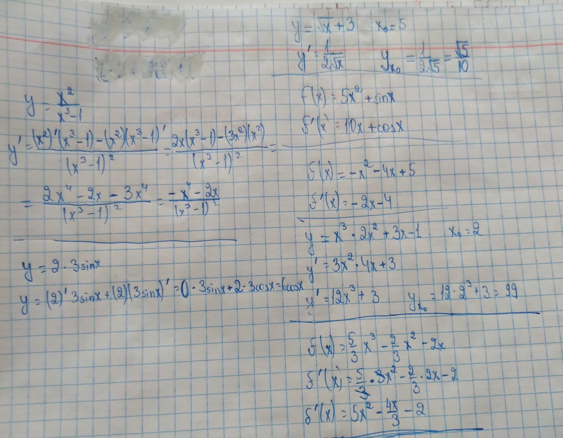
Ответ дал: gortadevosyan07
0

Объяснение:

Вот и ответ,можете отметить как самый лучший ответ

Приложения:
Вас заинтересует